加入收藏| 网站首页|学院官网

人文动态

您的位置:

首页 人文动态

公示|智慧康养学院(健康医学院)2025-2026学年第二学期推荐优秀团员作为入党积极分子名单公示

作者:智慧康养学院 编辑日期 : 2026-04-13 来源 : 智慧康养学院 阅读次数:

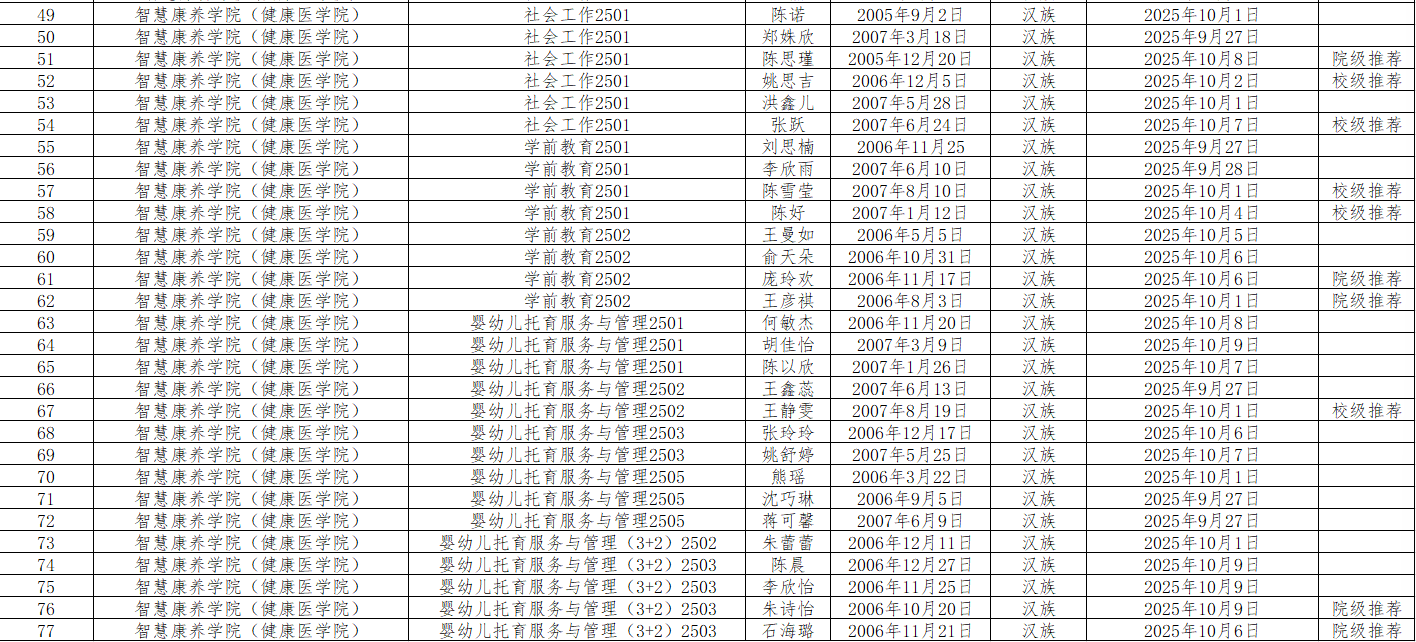
智慧康养学院2025-2026学年第学期推荐优秀团员作为入党积极分子名单公示经团支部评议,以下77名同志通过支部推优,拟推为入党积极分子,待党支部讨论并进一步考察培养。

图片12.png图片11.png

公示期为2026413日至2026417日,如对公示对象有异议,请在公示期间内通过来电、来函等形式向学院团总支反映。

联系人:周宁宁

联系电话:0577-86533963

共青团浙江东方职业技术学院

智慧康养学院总支委员会

2026414






滨海校区:浙江省温州市龙湾区金海三道433号 金竹校区:浙江省温州市瓯海区金竹路48号 邮编:325000 浙ICP备05029821号
版权所有©浙江东方职业技术学院智慧康养学院(健康医学院、温州民政管理学院、温州家政学院)